Book Description
- Wireless Communication Ppt
- Fundamentals Of Wireless Communication Solution Manual Download
- Wireless Communication Nc
- Fundamentals Of Wireless Communication Solution Manual Pdf
- Fundamentals Of Wireless Communication Solution Manual Download
- Wireless Communication Wikipedia
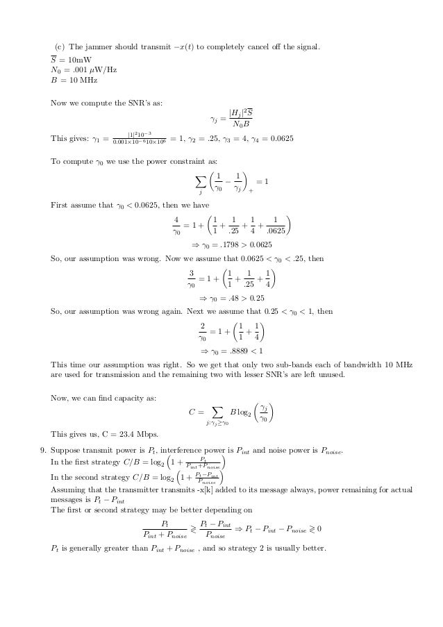
Solution manual of wireless communications by theodore s rappaport Slideshare uses cookies to improve functionality and performance, and to provide you with relevant advertising. If you continue browsing the site, you agree to the use of cookies on this website. ‘Fundamentals of Wireless Communication is a terrific introduction to principles of physical-layer design for state-of-the-art wireless systems. It is a wonderful and much-needed resource for new graduate students and practicing professionals alike. Tse and Viswanath: Fundamentals of Wireless Communications 2 3 Point-to-Point Communication: Detection, Diversity and Channel Uncertainty 64. Solution Manual-Wireless Communications 2.Ed by Theodore Rappaport - SolutionsManual-Design of Analog CMOS Integrated Circuits by McGraw – RAZAVI - Solution Manual.pdf-Communication Systems: An Introduction to Signals and Noise in Electrical Communication 4th Edition Solution Manual-Fundamentals of Digital Logic with Verilog Design 1st edt.
Reviews
Errata
Updated as of Feb 18, 2010. Please contact the authors if you have comments or spot more errors.Resources for Instructors
Solutions and Lecture Slides:
Solutions to some of the exercises as well as powerpoint lecture slides are available for course instructors. Please go here for instructions on how to download them.Examination Copy:
Instructors can also request an inspection copy from Ms. Robin Silverman of Cambridge University Press: rsilverman at cambridge dot org.This book has been used at: U.C. Berkeley, U. of I. at Urbana-Champaign, MIT, U. of Colorado at Boulder, Cornell, Northwestern, U. of Maryland at College Park, Rice, NJIT, UCSD, USC, Princeton, KTH (Sweden), National Chiao Tung University (Taiwan), National Taiwan University, ETH (Switzerland), EPFL (Switzerland) and more than 50 other institutions worldwide. Let us know if you are using the text for a course.
Short Course
A 2-day, 12-hour short course based on the book is offered by the authors. This course has been taught at Qualcomm Inc., Tsinghua University, Chinese University of Hong Kong, National Chiao Tung University in Taiwan, University of South Australia in Adelaide, Eindhoven in the Netherlands, Indian Institute of Science, Indian Institute of Technology at Madras, ETH Zurich, Helsinki in Finland, and Technion in Israel. Please contact the authors if your organization is interested. Hi dear students;We are SolutionmanualGroup.We established SolutionmanualGroup in
2004…

We have solution manuals for a competitive price. I also have other
manuals more than 1500..We have a lot of solutions manual in low
price
to get solution manual you want please send message to us.Cheapest
Wireless Communication Ppt
and fastest service is our aim…
#Feel free to contact us. solutionmanualgroup [at] gmail [dot] com
#If your interested do let me know at http://solutionmanualgroup.blogspot.com/
Fundamentals Of Wireless Communication Solution Manual Download
Wireless Communication Nc
#All solution manuals are in PDF format...Fundamentals Of Wireless Communication Solution Manual Pdf
#Full List of solution manuals are at http://solutionmanualgroup.blogspot.com/
Fundamentals Of Wireless Communication Solution Manual Download
#Please visit our website and search click Ctrl+F
Wireless Communication Wikipedia

Regards
Solutionmanual Group ( solutionm...@gmail.com )
List of Some Solution Manuals:
-Steel Design, 4th ed by William T. Segui SM
-Design with Operational Amplifiers and Analog Integrated Circuits
(3rd Edition), by Sergio Franco SM
-Fundamentals of Wireless Communication by Tse and Viswanath SM
-Cost Accounting; Foundations and Evolutions, Edition 7, Kinney,
Raiborn
-Analysis and Design of Digital Integrated Circuits, 3/e David A
Hodges
-Dynamics Analysis and Design of Systems in Motion 2005, 1st Edition,
Tongue.Sheppard, Solutions Manual
-Principles of Risk Management and Insurance, 10e,rejda
-Short-Term Financial Management,Maness,3e
-Introduction to Econometrics 2E Stock Watson Solution Manual
-Aircraft Structures for Engineering Students-Solutions Manual, 4th
Ed.by T.H.G Megson
-Finance Applications and Theory Cornett 1
-Taxation of Individuals 2010 edition by Spilker Mcgraw hills test
bank
-Laser Fundamentals 2nd edition by William t. Silfvast
-Fracture Mechanics 2nd ed. by Northam Anderson Solution Manual
-MIS Cases Decision Making wih Application Software, 4E solutions and
Instructors manual
-Applied Partial Differential Equations 4th Ed by Haberman Solutions
Manual
-Solution Manual for Unsaturated Soil Mechanics by Ning Lu and William
J. Likos
-Solution Manual - Soil Mechanics : Concepts and Applications 2nd
edition by William Powrie
-Solution Manual: Chemical and Engineering Thermodynamics 3rd Ed. by
Stanley I. Sandler
-Solution Manual: Elementary Principles of Chemical Processes 3rd
Edition by Richard M. Felder and Ronald W. Rousseau
-Solution Manual: Introduction to Chemical Engineering Thermodynamics
5.ed by Smith, Van Ness & Abbott
-Solution Manual: Introduction to Chemical Engineering Thermodynamics
6.ed by Smith, Van Ness & Abbott
-Solution Manual: Introduction to Chemical Engineering Thermodynamics
7.ed by Smith, Van Ness & Abbott
-Solution Manual: Physical Chemistry 7th Edition. by Peter Atkins &
Julio de Paula
-PROCESS SYSTEMS ANALYSIS AND CONTROL - DONALD R. COUGHANOWR Solution
Manual
-Transport Phenomena - 2nd edition by Bird, Stewart and Lightfoot
Solution Manual
-Strength of Materials 4th Ed. by Ferdinand L. Singer Andrew PyteL
-Beer Johnston Dewolf _Mechanics Of Materials Solution Manual 3rd Ed
-Fluid Mechanics by Crowe, Elger, Robinson, williams 8th or 9th ed
-Fluid Mechanics With Engineering Applications by Finnemore,Franzini
10TH ED
-Finite element techniques in structural mechanics
-Engineering Economics 4th Edition - Park
-Principles_Geotechnical_Engineering_Braja_Das_6th_ed
-2500Solved Problems in Fluid Mechanics and Hydraulics (Schaum's
Solved Problems) by Jack B. Evett, Cheng Liu
-Solution Manual Mechanics of Fluids 5th Edition Author: Frank White
-Principles_of_Highway_Engineering___Traffic_Analysis_3rd_Ed
-Statistical Digital Signal Processing and Modeling By Monson H. Hayes
Solution Manual
-Digital Design 4th Edition by Morris Mano Solution Manual
-Electric Circuits 7th by Nilsson Solution Manual
-Feedback Control of Dynamic Systems 5.ed by Gene Franklin, J.D.
Powell and Abbas Emami-Naeini Solution Manual
-Concepts of Modern Physics 6th edition Arthur Beiser Solutions
Manual
-Fundamentals of Engineering Electromagnetics by David K. Cheng
Solution Manual
-Engineering Electromagnetics 6th Edition by William H.Hayt John
A.Buck Solution Manual
-Classical Dynamics of Particles and System 5th.ed. by Marion Thornton
Solution Manual
-Solution Manual For Communication Systems 4th edt by Simon Haykin
Solution Manual
-Microwave and RF Design of Wireless Systems by Pozar Solution Manual
pdf
-Engineering Circuit Analysis 6.ed. By William Hart Hayt Solution
Manual
-Design with Operational Amplifiers and Analog Integrated Circuits,
3rd edt. by Franco, Sergio Solution Manuel pdf
-Electric Circuits 8th Ed. by Nilsson & Riedel Solution Manual-
-Electric Machinery 6th ed. By A.E. Fitzgerald,Kingsley,Umans Solution
Manual
-Power System Analysis 2.ed by Hadi Saadat Solution Manual
- Fundamentals of Electric Circuits 2nd. ed. by C.K.Alexander
M.N.O.Sadiku –Solution
Manual
- Differential Equations And Boundary Value Problems 2nd edition by C.
Henry Edwards - David E. Penney Solution Manual
- Automatic Control Systems 8th Ed. By Kuo and Golnaraghi - Solutions
Manual.pdf
- Semiconductor Device Fundamentals, 1st edt. by Robert F. Pierret -
Solution Manuel.pdf
-Engineering Electromagnetics by Cheng Solution Manual
- Fundamentals of Electromagnetics with Engineering Applications by
Stuart M. Wentworth - Solution Manuals
- Data Communications and Networking 4th edition by Behrouz
A.Forouzan Solution Manual
-Control Systems Engineering, 4th Edition by Nise Solution Manual
-Principles of Electronic Materials and Devices By Safa O. Kasap
Solution Manual
-Probability Random Variables And Stochastic Processes by Papoulis
Solutions Manual
-Microelectronic Circuits 5th ed. By Adel S. Sedra Kenneth C. Smith
Solution Manual
-Wireless Communications 2.Ed by Theodore Rappaport - SolutionsManual
-Design of Analog CMOS Integrated Circuits by McGraw – RAZAVI -
Solution Manual.pdf
-Communication Systems: An Introduction to Signals and Noise in
Electrical Communication 4th Edition Solution Manual
-Fundamentals of Digital Logic with Verilog Design 1st edt. By S.
Brown Z. Vrasenic Solution Manual
-Adaptive Control 2nd. Edt. By Karl J. Astrom Solution Manuel
-Advanced Modern Engineering Mathematics 3rd Edt by Glyn James
Solution Manuel
-Antenna for all Application 3rd edt. by John D. Kraus Instructors
Manual
-Linear Circuit Analysis 2nd edt. By R. A. DeCarloand P.Lin Solution
Manuel
-A First Course in Probability 6th edition by Sheldon Ross Solution
Manual
-Shingles's Mechanical Engineering Desing 8th Edition By Shingle
Solution Manual
-Electric Circuits 7th Ed. By Nilsson Riedel Solution Manual
-Electric Circuits 8th Ed. By Nilsson Riedel Solution Manual
-Physics for Scientists and Engineers with Modern Physics 3rd Edition
by Douglas C. Giancoli Solution Manual (doc.)
-Advanced Modern Engineering Mathematics 3rd Edition by Glyn James
Solution Manual (djvu)
-Fundamentals of Electric Circuits, 2nd Edition by Charles Alexander -
SADİKU
Solution Manual
-Introduction to Solid State Physics by Charles Kittel Solution Manual
-The Econometrics of Financial Markets by Petr Adamek Solution Manual
-Techniques of Problem Solving by Luis Fernandez Solution Manual
(djvu)
-Analytical Mechanics by Grant R. Fowles Solution Manual
-Mechanics of Materials Sixth Edition by R.C.Hibbeler Solution Manual
-Microeconomic Analysis by Hal R. Varian Solution Manual
-Electric Circuits, 7th Edition by Carl Nilsson Solution Manual
-High-Speed Digital System Design A Handbook of Interconnect Theory
and Design Practices by Stephen H. Hall
-The Economics of Financial Markets by Roy E. Bailey Solution Manual
-Numerical Solution of Partial Differential Equations: An Introduction
by K. W. Morton Solution Manual
-Advanced Engineering Mathematics 9th Edition by Erwin Kreyszig
Solution Manual
-Fracture Mechanics by Northam Anderson Solution Manual
Password:doifh654dzf
-Serway's & Jewett's Physics for Scientists and Engineers 6th ed. Vol
1 by Ralph V. McGrew Solution Manual
-An Introduction to Numerical Analysis by Endre Suli Solution Manual
-Engineering Mechanics Dynamics 11th Edition by Russell C.
HibbelerSolution Manual (12-22 chapter)
-Recursive Methods in Economic Dynamics by Stokey, Lucas, and
Prescott Solution Manual
-Student Solutions Manual accompany Boyce Elementary Differential
Equations and Boundary Value Problems by Charles W. Haines
-Transport Phenomena 2nd ed. 2002 by R. Byron Bird Solution Manual
-Elementary Principles of Chemical Processes by Richard M.Felder
Solution Manual
-How the Mind Works by Steven Pinker Solution 37-Understanding Flight
by David Anderson 2001 Solution Manual
-Probability & Statistics for Engineers & Scientists, 8th Edition by
Sharon Myers Instructors Solution Manual
-Options, Futures and Other Derivatives, Fifth Edition
by John Hull Solution Manual
-Elements of Chemical Reaction Engineering, 3rd Edition by H. Scott
Fogler
Solution Manual
-INTRODUCTION TO OPERATIONS RESEARCH by Frederick S Hillier and Gerald
J Lieberman 7e
-Complex Analysis by Lars Ahlfors.djvu
-Elementary Number Theory and Its Application 5E by K.H .Rosen
solution manual
-Mechanical Vibrations Solution Manual By Singiresu S. Rao 3rd Edition
(1,2,3,4,5,7,8,10)
-Willard general topology.djvu
-Solutions manual to A First Course in Probability 7th ed by Sheldon
Ross
-Introduction to Linear Algebra 3Ed Gilbert Strang(selected
solution).pdf
-Digital Design 4thed Morris Mano.pdf
-Solution Manual Of Nonlinear Ordinary Diff Equations A Source for
Scientists and Engineers Jordan and Smith
-Solution Manual of Local Area Networks by Behrouz A. Forouzan
-Non linear systems 3rd Edition by Hassan K Khalil
-Electric Machinery 6th Ed by Fitzgerald Kingsley Uman
-DSP by Proakis
-Digital Communications Fundamentals and Applications 2e Bernard Sklar
-Data & Computer Communications 7th Edition by William Stallings
-Control Systems Engineering by Nise
-Control Systems-Principles and Design 2nd Edition by Gopal
-Physics by Resnick Halliday Krane, 5th Ed. Vol 2
-Basic Engineering Circuit Analysis 8th Ed. by Irwin
-Cryptography and network security 4th edition William Stallings
-Operating Systems INTERNALS AND DESIGN PRINCIPLES 4th Edition by
William Stallings
-NETWORK FLOWS THEORY, ALGORITHMS AND APPLICATIONS by Ravindra K.
Ahuja,Thomas L. Magnanti, James B. Orlin
-Data & Computer Communications 7th Edition by William Stallings
-Concepts of Programming Languages 7th Edition by Robert Sebesta
-Computer Organization & Architecture, 7th Edition William Stallings
-Computer Networking 4th Edition by James F. Kurose, Keith W. Ross
-Solution Manual Transport phenomena by R.Byron Bird ,Warren E.Stewart
-Solution manual of Chemical Engineering Thermodynamics by J.R.
Elliott & C. T. Lira
-Solution Manual of Chemical and Engineering Thermodynamics 3rd Ed by
Stanley I. Sandler
-Process Systems Analysis-Control by Coughanowr(selected problems)
-Physical Chemistry 7th Ed. by Atkins Paula
-Fundamentals of Thermodynamics by Sonntag-Borgnakke-Van.Wylen
-Engineering Fluid Mechanics,7th ed. Clayton T. Crowe, Donald F. Elger
and John A. Roberson
-Engineering Materials Science, Milton Ohring
-Elementary Principles of Chemical Processes 3rd Ed. by Felder and
Rousseau
-Young_University Physics with Modern Physics 12e
-ENGINEERING BIOMECHANICSTATICS BY-Guevarez,Rìos,Rivera,VÃ
¡zquez&Villegas
-Solution Manual-Dynamics 11th Edition by R.C. Hibbeler (12-22)chapter
-Semiconductor Physics & Devices-Basic Principles 3rd Ed.- Donald A.
Neamen
-Organic Chemistry by Francis A. Carey Robert C. Atkins 5th Ed.
-Organic Chemistry by Francis A. Carey Robert C. Atkins 4th Ed.
-Mathematical Models in Biology An Introduction by Allman and Rhodes
-Instructor Manual to Special Relativity by Patricia M. Schwarz and
John H. Schwarz
-Equilibrium and Non-equilibrium Statistical Thermodynamics By Michel
Le Bellac Fabrice Mortessagne Ghassan
George Batrouni(selected exerciess and problerm)
-Classical Mechanics 2nd Ed. by Goldstein Poole Safko
-Classical Dynamics of Particles & Systems 5th Ed-Thornton&Marion
-A First Course in String Theory by Barton Zwiebach Solutions
-A Quantum Approach to Condensed Matter Physics By Philip L. Taylor,
Olle Heinonen
-Solution Manual for Antenna Theory and Design by Balanis 2nd edition
-Electonic Devices Circuit Theory Instructors Resource Manual by
Bolylestad and Nashelsky 8th edition
-Engineering Electromagnetics by William H. Hayt Jr., John A. Buck -
6th Edition Solution Manual
-Design with Operational Amplifier and Analog Integrated Circuit 3rd
ed by Sergio Franco - Solution Manual
-Microeconomic Theory by Mas-Colell, Whinston, and Green Solution
Manual
-A Computer Based Approach by Sanjit K.Mitra Solution Manual
-Physical Chemistry (7th Ed) by Atkins Solution Manual
-Fundamentals Of Engineering Thermodynamics by Moran And Shapiro
Solution Manual
-Physics For Scientists And Engineers 6th Edition-Volume One by Serway
and Jewett Solution Manual
-Advanced Modern Engineering Mathematics (3rd Edition) by Glyn James
Solution Manual
-Analog Integrated Circuit Design by Johns Martin Solution Manual
-Design of Analog CMOS Integrated Circuits by Razavi Solution Manual
-Fundamentals of Physics 7th Ed. Instructors Solution Manual
-Differential Equations And Linear Algebra by Edwards Penney -
Solution manual
-Probability & Statistics 8th by Walpole Myers (Complete Solution
Manual)
-Engineering Mechanics Statics by R C Hibbeler 11Th Solution Manual
-Fundamental Methods of Mathematical Econometrics 4th edition by Alpha
C. Chiang Solution Manual
-Power System Analysis by John Grainger & William Stevenson Solution
Manual
-Probability and Statistical Inference 7e by Hogg & Tanis Instructors
Solution Manual
(Pearson 2005)
-Field and Wave Electromagnetics 2ed by Cheng Solution Manual v2
-Microelectronic Circuits By Adel Sedra Solution Manual
-Unit operations of chemical engineering by McCabe Solution Manual
-Engineering Mechanics-Dynamics SI Version Volume 2 - 5th edition
-2003- by Meriam and Kraige Solution Manual
-Digital Signal Processing A Computer Based Approach (2nd Ed) by Mitra
Solution Manual
-Semiconductor Devices Physics and Technology Solution Manual [Sze,
S. M]
-Electric Machinery 6th Edition by A. E. Fitzgerald Solution Manual
-Physics_Principles with Application 6th edition by Giancoli Solution
Manual
-Probability, Random Variables, and Stochastic Processes 4ed by
Papoulis, Athanasios - 2002 Solution Manual
-Elements Of Electromagnetics by Sadiku Solution Manual
-Communication Systems 4th Edition by Haykin Solution Manual
-Basic Engineering Circuit Analysis, 7Ed Solution Manual
-Digital Comunications 2nd edition by Sklar Solution manual
-Discrete-Time Digital Signal Processing 2nd Edition By Alan Oppenheim
Solution Manual
-Calculus volume 1 by Jerrold Marsden & Alan Weinstein - Student
Solution Manual
-Mathematics for economists by Simon and Blume- Complete Solution
Manual
-C++ How To Program 3 ed. by Daitel , Nieto Solution Manual
-Applied Probability Models with Optimization Application by Sheldon
Ross Solution Manual
-Introduction To Solid State Physics 8Th Edition by Kittel, Charles
Solution Manual
-University Physics Instructor's Solution Manual
-Engineering - Mechanics Of Materials 3Rd Ed , By Beer, Johnston, &
Dewol Problems Solution Manual
-Operating System Concepts 7th edtion by Silberschatz , Galvin ,Gagne
Solution Manual
-A First Course In Probability 7Ed by Sheldon Ross (Solution Manual
Prentice Hall 147S)
-Digital Image Processing 2nd Edition by Gonzalez and Woods - 2002 -
Solution Manuals Prentice Hall
-Fundamentals of Thermodynamics (6th Edition) by SONNTAG, BORGNAKKE,
VAN WYLEN Solution Manual SI units
-Field and Wave Electromagnetics 2ed by Cheng Solution Manual
-Microelectronic Circuits 5 Th edition by Sedra Solution Manual
-Signal And Systems 2nd edition – General - A V Oppenheim A S Willsky
-Electronic Circuit Analysis And Design 2Th by Neamen Solution Manual
-Fundamentals of Heat and Mass Transfer by F. P.Incropera - D.
P.DeWitt Solution Manual 48-Thomas' Calculus, Early Trascendentals
10th edition (Solution Manual)
-Signal Detection And Estimation - Solution Manual
-Elements Of Information Theory by Thomas M. Cover , Joy A. Thomas
Solution Manual
-An Introduction to the Mathematics of Financial Derivatives by Neftci
--Solution Manual
-A Course in Game Theory by Martin J. Osborne Solution Manual
-An Introduction To The Finite Element Method 3th edition by J. N.
Reddy Solution Manual
-Basic Engineering Circuit Analysis, 7Ed(Solution Manual)
-Thomas Calculus 11th ed by G. Thomas, M. Weir (2004) Solution Manual
-Power Analysis and Design Instructor by Glover and Sarma Solution
Manual
-Numerical Methods for Engineers by Chapra Solution manual
-Design With Operational Amplifiers And Analog Integrated Circuits 3Rd
Edt By Franco Sergio Solution Manual
-Mechanics of Fluids Solutions Manual by John Ward-Smith 8 ed
-Elements of Chemical Reaction Engineering By H Fogler, 3rd ed
-Advanced Engineering Mathematics by Erwin Kreyszig 8ed
solutions manual
-Analysis and Design of Analog Integrated Circuits (4th Edition)
Gray, Hurst, Lewis and Meyer
-Analytical Mechanics:1 Solutions Manual Grant R. Fowles,
George L. Cassiday, 7 ed
-ANTENNAS FOR ALL APPLICATIONS, THIRD EDITION.txt
-solution Manual for C++ How to Program 3rd edition by deitel
CMOS VLSI Design 3rd edition David_Harris H E Weste
-Communication Systems 4Ed - A Bruce Carlson Solutions
Manualt.txt
-Communication systems engineering' by proakis
-Computer Organization and Design, Revised Printing, 3rd
Edition Solutions Manual By David A. Patterson, John L.
Hennessy,
-Control Systems Engineering by Nise 4ed
-Device Electronics for Integrated Circuits Solutions Manual 3ed
-Digital Signal Processing - Proakis & Manolakis - Solutions
Manual 3ed
-Discrete-Time Signal Processing 2nd Edition, 1999-02 by
oppenheim
-Electronic Circuit Analysis and Design 2nd edt. by Donald A.
Neamen
-Elementary Differential Equations and Boundary Value
Problems , 8th Edition .txt
-Elementary Principles of Chemical Processes Solutions Manual
3 ed By Richard M.Felder
-Engineering Circuit Analysis 6Ed - Hayt Solutions Manual.pdf
-Engineering Electromagnetics -Hayt (2001)
-'Engineering Fluid Mechanics, 7th Edition - By Clayton T.
Crowe, Donald
-Engineering Mechanics, Dynamics 5/e - Solutions manual By
J. L. Meriam, L. G. Kraige, chapter 1-8
-Fundamentals of Digital Logic with Verilog Design by s.
Brown z vranesic
-Fundamentals of Logic Design 5th edition by charles roth
-Fundamentals of Machine Component Design 3ed - Solutions
Manual By Robert C. Juvinall, Kurt
-Fundamentals of Physics, 7th Edition - Instructor's
SOLUTIONS MANUAL halliday and resnick
-Solutions Manual to Econometric Analysis, 5th edition
william h. Greene
-Heat Transfer: A Practical Approach. Solution Manual ONLY by
cengel 2nd edition
-Introduction Fluid Mechanics, 6Th Edition Solution by fox
-Introduction to algorithms 2nd edition instructors manual
McGraw-Hill by thomas h. Cormen
-Introduction to VLSI Circuits and Systems (2001 draft) -
John P Uyemura - Solutions Manual
-Introductory Quantum Optics by Knight and Gerry
-Jackson s Classical Electrodynamics 3rd edition
-James Stewart - Calculus 5Th Ed - Complete Instructor 's
Solutions Manual
-Linear systems and signals by lathi solutions manual blue
covered
-Ljungqvist-
Sargent.-.Recursive.Macroeconomic.Theory.-.Solutions.Manual.(200¬3)
-Material Science and Engineering An Introduction by
callister 6th edition
-Mathematical Methods for Physics and Engineering A
Comprehensive Guide 3rd edition
-Microeconomic Theory - - Solutions Manual for Mas-Colell
-Modern Quantum Mechanics - J. J. Sakurai - Solution
-Physical Chemistry (Instructor's Solutions Manual) Peter
Atkins & Julio de Paula 7ed
-Power System Analysis_Solution Manual_John Grainger, William
D. Stevenson
-Principles of Electronic Materials and Devices, Solutions
Manual ONLY Safa O. Kasap 2nd edition
-'Probability and Statistics for Engineering and the Sciences
[Solutions Manual] 7th edition by Jay L. Devore
Roy D. Yates and David J. Goodman, Probability and
Stochastic Processes - A Friendly Introduction for
Electrical and Computer Engineers, 2nd edition,
Recursive Methods in Economic Dynamics By Claudio Irigoyen
,Esteban
RF circuit Design Theory and Application by Ludwig bretchko
solution manuel
Classical Mechanics, 2ed Partial Solutions Manual by Safko
Semiconductor Device Fundamentals 1st edition by Robert F
semiconductor physics and devices 3rd edition neamen
Signals and Systems 2nd edition Oppenheim solution manual
Solutions Manual for the Guide to Energy Management 5 ed
2005-12 Klaus-Dieter E. Pawlik
Solutions Manual to accompany Corporate Finance By Stephen
A. Ross 6 edition
Solutions of Engineering Electromagnetics -Hayt (2001).rar
solutions Electric Machinery and Power System Fundamentals
Thermodynamics: An Engineering Approach by: Yunus A. Cengel
5th edition
Wireless Communications: Principles and Practice, 2nd
edition theodore rappaport solutions manual
modern control engineering by katsuhiko ogata 3rd edition
ISBN: 0132273071
'thomas calculus updated 10th edition instructor solution
manual volume 1and 2
electric machinery fundamentals 4th edition stephen j chapman
'Problems and Solutions on Electromagnetism by zhao shu ping
- you jun han
'Signal Processing and Linear Systems by lathi
'Hydraulics in Civil and Environmental Engineering By Andrew
Chadwick
Kc's Problems and Solutions for Microelectronic Circuits by
k.c smith 4th edition
principles of communication 5th edition ziemer william h.
tranter solutions manual
Linear algebra with applications 3rd edition Otto Bretcher -
Solutions Manual
Solution Manual: Probability and Random Processes for
Electrical Engineering by Alberto Leon-Garcia
Engineering Electromagnetics, 7th Ed., Hayt, Buck
Linear algebra and it^s applications 3rd edition by david c. Lay
Analytical Mechanics: Solutions Manual 7ed Grant R. Fowles,
George L. Cassiday
computer networks Andrew S. Tanenbaum 4th edition
Design with Operational Amplifiers and Analog Integrated
Circuits, 3rd edt. by F
Instructor's Manual: Im Experiments with Economic
Principles By Bergstrom
Mechanics of Fluids Solutions Manual 8ed By John Ward-Smith
Statistical Digital Signal Processing and Modeling -
SOLUTIONS MANUAL By Monson H. Hayes
Advanced Engineering Mathematics, 9th Edition By Erwin
Kreyszig
Solution to Advanced Macroeconomics 3rd edition romer
Advanced Macroeconomics, Solutions Manual Romer
Advanced Modern Engineering Mathematics, 3rd Edt by Glyn
James - solution manuel
APPLIED MATHEMATICS AND MODELLING FOR CHEMICAL ENGINEERS-8th
Edition (solution manual) By Erwin Kreyszig
Classical Dynamics of Particles and Systems (5th edition)
By Stephen T. Thornton, Jerry B. Marion
Computational Techniques for Fluid Dynamics: A Solutions
Manual By Karkenahalli Srinivas, Clive A. J. Fletcher
DIGITAL DESIGN FOURTH EDITION by M. MORRIS MANO
Mechanics of Materials, 6th Edition by James M. Gere
(missing small portion, section 8.5)
Essentials of Fluid Mechanics: Fundamentals and
Applications, 1st Ed., by Cengel & Cimbala ISBN-13
9780073301129
Electric Circuits, Nillson Riedel , 8th edition
Electric Circuits, Nillson Riedel , 7th edition
Elementary Differential Equations And Boundary Value
Problems, 7Th Ed - Boyce And Diprima Student Solutions
Manual, Charles W Haines Ode Architect Companion
Corporate Finance-7th Edition by Stephen A. Ross , Randolph
W. Westerfield , Jeffrey Jaffe
DATABASE MANAGEMENT SYSTEMS 3rd Edition by Ramakrishnan,
Gehrke, Derstad, Seliko, Zhu- Solution Manual
Design and Analysis of Experiments Solutions Manual 6th
edition 2004-12 By Douglas C. Montgomery
Digital and Analog Communication Systems - SOLUTIONS MANUAL
By Leon W. Couch, Leon W. 7th edition student solutions
Digital Integrated Circuits by Rabaey 2nd edition solution
manuel chapter 3,5,6,10
Econometric Analysis [ONLY the Solutions Manual to the 6th
Edition By William H. Greene
instructor s resource manual to accompany electronic
devices,6th edition and electronic devices electron flow
version 4th edition thomas floyd
Engineering Economy - Leland Blank & Anthony Tarquin 6th
Edition selected solutions ( student solution)
Engineering Fluid Mechanics, 7th Edition - Student Solutions
Manual by Clayton T. Crowe, Donald F. Elger, John A. Roberson
Engineering Mathematics, 4th edt. by John Bird - solution manual
'Finite Element Method: Volume 1,2,3 The Basis -Solid
Mechanics- Fluid Dynamics 5th edition by O. C. Zienkiewicz,
R. L. Taylor
Fundamentals of Chemical Reaction Engineering - Solutions
Manual By Mark E. E. Davis, Robert J. J. Davis,
Fundamentals of Electric Circuits 2nd by Alexander Sadiku
Fundamentals of Engineering Electromagnetics--Cheng
Fundamentals of Organic Chemistry, 5E, Study Guide and
Solutions Manual By T. W. Graham Solomons
Fundamentals of Probability With stochastic processes 3/e
(Solutions Manual ) By Saeed Ghahramani
Fundamentals of Thermal-Fluid Sciences Solution Manual 2ed
By Yunus A. Cengel, Robert H. Turner,
Fundamentals of Thermodynamics SOLUTION MANUAL 6ed By
Richard E. Sonntag, Claus Borgnakke, Gordon J. Van Wylen,
chemical Engineering: Solutions for Volumes 2 and 3 by
coulson 2002-12-11
In Experiments with Economic Principles, Instructor's Manual
By Bergstrom
Instructor Manual to An Introduction to Thermodynamics and
Statistical Mechanics 2ed By Keith Stowe
Instructor Manual to Introduction to Solid State Physics
Eighth Edition By Charles Kittel
Instructor Manual to Introductory Quantum Optics By
Christopher Gerry and Peter Knight
Instructor Manual to SEMICONDUCTOR DEVICES Physics and
Technology Second Edition By S.M.Sze
Instructor Solutions Manual to accompany Boyce Elementary
Differential Equations and Boundary Value Problem 8ed by
Charles W. Haines, William E. Boyce
Instructor's Manual for Solving ODEs with MATLAB By L. F.
Shampine, I. Gladwell, S. Thompson
Instructor's Solutions for: Design of Analog CMOS Integrated
Circuits by razavi
Advanced Engineering Mathematics 3rd Edition by Dennis G
Zill and Michael R Cullen
Wireless Communication and Networks second edition William
Stallings solutions manual'
Transport Phenomena - 2nd edition by Bird, Stewart and
Lightfoot Solution Manual
Signals and Systems 2nd edition simon Haykin Solutions Manual
Electrical Engineering: Principles and Applications 3ed
Allan R. Hambley
Introduction to Chemical Engineering Thermodynamics 7th
edition (solution manual) By J.M. Smith, Hendrick C Van Ness
Introduction to Heat Transfer - 013391061X Solution's Manual
By peyman pourmoghaddam , Vedat S. Arpaci
Computational Techniques for Fluid Dynamics: A Solutions
Manual By Karkenahalli Srinivas, Clive A. J. Fletcher
Introduction to Heat Transfer 4th Edition SOLUTION MANUAL
By Frank P. Incropera, David P. DeWitt
Heat Transfer-Fundamentals of Heat and Mass
Transfer-Incropera & Dewitt Solution Manual
power analys and design by glover 3rd ediiton
Digital Communications: Fundamentals And Applications (2nd
Edition)-Bernard Sklar
Engineering mechanics: Dynamics - 4th Ed. by Bedford and Fowler
design of machinary by norton 3rd edition
Digital Signal Processing (2nd Ed.) (Mitra) Solution Manual
Electronic Circuit Analysis and Design 2nd edt. by Donald A.
Neamen - solution manuel
Introduction to Probability by Dimitri P. Bertsekas -
solution isbn: 1-886529-40-X
INTRODUCTION to PROBABILITY Charles M. Grinstead and J.
Laurie Snell
computer networking a top down approach 3rd edition solution
manual by James F.Kurose, Keith W. Ross
Solution manual of sedra microelectronic circuits 5th ed. By
Adel S. Sedra, Kenneth C. Smith
Elementary Differential Equations And Boundary Value
Problems, 7Th Ed - Boyce And Diprima Student Solutions
Manual, Charles W Haines Ode Architect Companion
Fundamentals of Electronic Circuit Design by David and Donal
Comer (Copyright 2003)
Introduction to Quantum Mechanics (Second Edition) -
Solutions Manual By David J. Griffiths
Introductory Econometrics A Modern Approach 2ed Jeffrey
Wooldridge
Modern Digital and Analog Communications Systems - B P Lathi
Solutions Manual 3rd edition
Solutions Manual to accompany Investment Analysis &
Portfolio Management, 7th edition by Reilly and Brown
Selected Answers-Basic Engineering Circuit Analysis-7th Ed.
by J. David Irwin
Shigley's Mechanical Engineering Design 8th Ed - Solution
Manual By by Richard Budynas, J. Keith Nisbett
Shigley's Mechanical Engineering Design 7th Ed - Solution
Manual By by Richard Budynas, J.Charles Mischke
Soil Mechanics Solutions Manual (2nd Edition) By William
Powrie
Solution Manual for Numerical Solution of Partial
Differential Equations: An Introduction 2ed By K. W.
Morton, D. F. Mayers
Solution Manual-Microelectronics-Digital and Analog Circuits
and Systems by Millman
Solutions Manual for Materials Science and Engineering An
Introduction 6E By William D. Callister
Solutions Manual for System Dynamics 3rd Ed By Katsuhiko
Ogata
Statistical Digital Signal Processing and Modeling -
SOLUTIONS MANUAL By Monson H. Hayes
Engineering Mechanics, statics 5th edition Solutions manual
By J. L. Meriam, L. G. Kraige chapter 1-7
Probability and Statistics for Engineers and Scientists
Manual HAYLER Solutions Manual
Physics for Scientists and Engineers Extended Version, 5th
edition, 2003 by paul a. Tipler
PROCESS SYSTEMS ANALYSIS AND CONTROL - DONALD R. COUGHANOWR
Solution Manual
Ulaby Applied Electromagnetics
Butterworth Heinemann - Coulson And Richardson - Chemical
Engineering Vol I (Solutions Manual V Edition)
Instructor's Solutions Manual for Serway and Jewett's
Physics for Scientists and Engineers Sixth Edition Volume
One by Ralph V. McGrew
Instructor's Solutions Manual for Serway and Jewett's
Physics for Scientists and Engineers Sixth Edition Volume
two by Ralph V. McGrew
Digital Communications, 4th edition, 2000-08 book+solution
by John Proakis
Fundamentals of Wireless Communication by Tse and Viswanath
Probability & Statistics for Engineers & Scientists, 8th
Edition: Instructors Solution Manual ONLY by Sharon Myers ,
Keying Ye, Walpole
Undergraduate Econometrics Solutions Manual - Hill, Judge
and Griffiths
CMOS Analog Circuit Design, 2ed Solutions by Phillip E.
Allen, Douglas R. Holberg
Solutions Manual For An Introduction To The Finite Element
Method, 3rd Edition by J. N. Reddy
An Introduction to Database Systems 8Ed - C J Date -
Solutions Manual
Engineering Circuit Analysis 7ed by Hayt ISBN-10: 0071109374
Harcourt Mathematics 12 Geometry and Discrete Mathematics
Solutions Manual By McGraw-Hill
solutions manual for Mechanics of Materials Sixth Edition by
R.C.Hibbeler
Solutions Manual Vector Mechanics for Engineers DYNAMICS,
7th Edition by F. P. Beer, E. R. Johnston Jr., E. R.
Eisenberg, & G. H. Staab
Solutions Manual Vector Mechanics for EngineersSTATICS, 7th
Edition by F. P. Beer, E. R. Johnston Jr., E. R. Eisenberg,
& G. H. Staab
Calculus Single Variable 4ed chapter 1 to 11 Hughes-Hallett,
Gleason, McCallum, et al.
Fourier and Laplace Transform - Antwoorden
Field and Wave Electromagnetics, 2nd edition, Cheng
Thomas Calculus 11th edition
Multivariable Calculus: Student Solutions Manual 4th edition
by James Stewart (Author)
solutions manual for Introduction to Electrodynamics (Third
Edition) by David J. Griffiths
Engineering Mathematics, 4th Edition, Solution Manual by
NEWNES
APPLIED MATHEMATICS AND MODELLING FOR CHEMICAL ENGINEERS-8th
Edition (solution manual) by Erwin Kreyszig
Electric Machinery and Power System Fundamentals Stephen
J. Chapman first edition
Chemical Engineering Design, Fourth Edition: Chemical
Engineering Volume 6 (Coulson & Richardson's Chemical
Engineering)
Student Solutions Manual and Study Guide to accompany
Fundamentals of Fluid Mechanics, 5th Edition by Bruce R.
Munson Donald F. Young, Theodore H. Okiishi
HARCOURT MATHEMATICS 12 Advanced Functions and Introductory
Calculus - Solutions Manual by Brian / Nelson
Lagrangian and Hamiltonian Mechanics Solutions to the
Exercises by M. G. Calkin
Linear algebra with applications 3e Otto Bretcher -
Solutions Manual
Soil Mechanics Concepts and Applications By William Powrie
Fundamentals of Financial Management, 12th Edition
(Instructors guide ONLY) by James C. Van Horne, John M Wachowic
An Introduction to Numerical Analysis by Endre S?li, David
F. Mayers
Feedback Control of Dynamic Systems 4th edition Franklin -
Solutions Manual
Solution Manual : Nanoengineering of Structural, Functional
and Smart Materials
Solution Manuals +book for The Economics of Financial
Markets By Roy E. Bailey
Instructor's Manual Im Experiments with Economic Principles
By Bergstrom
Instructor Manual to A Course in Modern Mathematical Physics
By Peter Szekeres
Fundamentals of Chemical Reaction Engineering - Solutions
Manual By Mark E. E. Davis, Robert J. J. Davis
Solutions Manual for Equilibrium and Non-Equilibrium
Statistical Thermodynamics By Michel Le Bellac
Introduction To Electric Circuits 6th Ed [Solutions Manual]
By R. C. Dorf and J. A. Svoboda
Chemical Engineering Solutions manual for Volumes( 2 and 3)
3 edition Backurst J. R., Harker J.H. & Richardson J. F
Fluid Mechanics with Student Resources, 5th edition 2002-12
by Frank M. White
Instructor Manual to Quantum Physics Third Edition by
Stephen Gasiorowicz
Solutions Manual for use with Fundamentals of Corporate
Finance, 4th Edition (Brealey, Myers, Marcus) by Bruce
Swenson
Investment Analysis and Portfolio Management- Solutions
Manual, 7th Edition by Frank K. et al. Reilly
Microeconomic Analysis Solution Manual - Varian 3rd edition
Structural Analysis by Hibbeler 5th edition
The Science and Engineering of Materials by Donald R.
Askeland Frank Haddleton
solutions manual for Engineering Mechanics - Statics (11th )
by R.C.HIBBELER
Differential Equations & Linear Algebra, 2nd ed., Farlow
modern electronic communication 8th edition by gary miller
and beasley
Instructor's Manual for Solving ODEs with MATLAB By L. F.
Shampine, I. Gladwell, S. Thompson
Solution Manual analysis design of analog IC design
Microwave And Rf Design Of Wireless Systems - Solution
Manual (D M Pozar)
Solution Manual Peterson and Davie’s Computer Networks: A
Systems Approach 2nd edition
Solution Manual Communication Networks Fundamental concepts
& key Architectures By Leon Garcia Widjaja not complete 3
4 5 6 7 8 10
Solution Manual - Electrical Machines, Drives and Power
Systems 6th edition ISBN 0131969188
Logic Design and Digital Fundamentals - Moris Mano partial
solutions
Probability, Random Variables, and Stochastic Processes
[Only Solutions Manual] by Athanasios Papoulis
,S.Unnikrishna Pillai 4th edition
ntroduction to Environmental Engineering and Science (2nd
Edition) (Hardcover) by Gilbert M. Masters
Classical Mechanics (2nd Edition) by Herbert Goldstein
Data & Computer Communications, 7th Edition [Solutions
Manual only] by William Stallings
Calculus Third Editon By Strauss, Bradley and Smith
Fundamentals of Semiconductor Devices - Anderson
Operating Systems Concepts 6th + Solution Manual by ABRAHAM
SILBERSCHATZ , PETER BAER GALVIN, GREG GAGNE
Electrical Machines Drives and Power Systems 6th edition by
Theodore Wildi
Modern Control System 9 Solution Drof Bishop
Electric Machinery by A. E. Charles Kingsley, Jr.Fitzgerald
6th edition 0073660094
A First Course In Probability Solution Manual,Ross 6th
Fundamentals of Electromagnetics with Engineering
Applications by Stuart M. Wentworth
Data Communications and Networking fourth edition by Behrouz
A.Forouzan
Signals and Systems, Prentice-Hall Oppenheim, Willsky, Young,
Antenna Balanis
FESTO DIDACTIC Process Control System
Microwave Engineering 3e - David M Pozar
A First Course in Abstract Algebra 7Ed - Solutions Manual by
Fraleigh
Addison Wesley - Distributed Systems, Concepts and Design
(Exercise Solutions) - G. Coulouris, J. Dollimore and T.
Kindberg
allen holberg cmos analog circuit design 2nd edition
homework solutions
An introduction to the mathematics of financial derivatives
Neftci solution manual
Andrew Tanenbaum Structured Computer OrganizationSolutions
Manual
Bioprocess Engineering Principles - Solutions Manual
(Original) by pauline m. Doran
Carey, Study guide and solution manual for organic chemistry
Chapra Applied Numerical Methods With Matlab For Engieers
Solutions Manual
Chiang & Wainwright 2005 Instructor's Manual Of Fundamental
Methods Of Mathematical Economics Mc Graw Hill
Computer Networks Systems Approach3ed by davie peterson
solutions manual
Deitel - Instructors Manual for Simply C# (2004)
Digital image processing - Gonzalez 2Ed- Solutions Manual (209p)
Doets & Eijck - The Haskell Road To Logic, Math and
Programming - Solutions to Exercises
Econometrics - [Instructor Solution Manual] The Econometrics
of Financial Markets john y. campbell, andrew w. Lo
Elements Of Information Theory - Solution Manual by thomas
m. cover and joy a. Thomas
Fundamentals of Actuarial Mathematics” by D. Promislow
Instructor's Manual for Sipser's Introduction to the Theory
of Computation by Ching Law
Instructor's Manual(Information Technology Project
Management 3Rd Edition) by Kathy Schwalbe
Instructor's solution manual ISBN 0534382150 A Transition to
Advanced Mathematics solution manual by douglas smith 5th
edition
Introduction To Wireless Systems - P M Shankar - Solutions
Manual
Mathematics for Economists Solution Manual - Simon and Blume
(ver 2)
Microeconomic Analysis Third Edition by Hal R. Varian
Operating System Concepts (6Th Ed)-Instructor'S Manual (A
Silberschatz)
Operating System Concepts, 7th Edtion, Instructor's Manual
by A Silberschatz
Papathomas T.V. - Solutions Manual to Accompany Millman
Integrated Electronics Analog and Digital Circuits and
Systems (McGraw-Hill)
Pattern Recognition and Machine Learning (Solution Manual) -
Bishop
Solutions Manual for Statistical Inference - Casella & Berger
Solutions Manual Nanoengineering of Structural Functional
and Smart Materials
Solutions-Mathematics for Economists Solution Manual (Blume,
1994)
STRUCTURED COMPUTER ORGANIZATION 5ed ANDREW S. TANENBAUM
Solution Manuals for Advanced Dynamics by Donald T. Greenwood
Solution Manuals for The Economics of Financial Markets by
Roy E. Bailey
[Math] Haberman Applied Partial Differential Equations 4e
Instructor's Manual
A Quantum Approach to Condensed Matter Physics Solutions by
philip l. Taylor
An Introduction to Economic Dynamics 0521804787 sols
Engineering Mechanics Dynamics 3rd edition solution manual
Hibbeler R.C. updated fixed 09-2006
Fundamentals of Quantum Mechanics 0521829526 sols
Organic Chemistry 2nd ed [Student SOLUTIONS MANUAL and Study
Gde] - J. Hornback, B. Murugaverl (Thomson, 2006) WW
RF Circuit Design Theory and Applications Solution Manual
by reinhold ludwig pavel bretchko
Solution Manual for A First Course in String Theory
Solution manual Thermodynamics Of TurboMachinery 5th edition
Solution Manual for Mathematical Models in Biology An
Introduction by Elizabeth S. Allman john a. Rhodes
Solution Manual for Classical Dynamics A Contemporary
Approach by Jorge V. Jose, Eugene J. Saletan
Solution Manual for An Introduction to Ordinary Differential
Equations
laser fundamentals 2nd edition by william t. Silfvast
Elements of Electromagnetics, 3rd Ed., Matthew N.O. Sadiku
A FIRST COURSE IN DIFFERENTIAL EQUATIONS WITH MODELING
APPLICATION 7TH EDITION BY DENNIS G. ZILL
Solution Manual Microelectronics Circuit Analysis Desing 3rd
Edition
Wiley Chemical And Engineering Thermodynamics 3Ed Solutions
Manual
Fracture mechanics fundamentals and applications 2nd edition
anderson solution manual
modern control engineering by katsuhiko ogata 4th edition
Thermodynamics an engineering approach sixth edition ( SI
uni...
